16 đơn vị tại Việt Nam giúp Foxconn có lợi nhuận 7.500 tỷ đồng: Mảng kinh doanh nào thu lợi lớn nhất?

Lợi nhuận từ các đơn vị ở Việt Nam đã được thống kê trong báo cáo thường niên năm 2022 của Foxconn (tên chính thức là Hon Hai Precision Industry Co., Ltd.).

16 đơn vị tại Việt Nam giúp Foxconn có lợi nhuận 7.500 tỷ đồng: Mảng kinh doanh nào thu lợi lớn nhất?

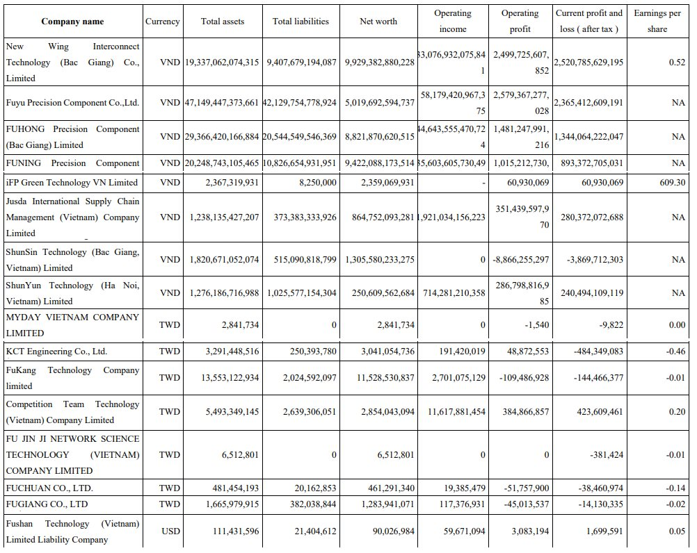
Cụ thể, các đơn vị sản xuất linh kiện và thiết bị điện tử đem lại lợi nhuận lớn nhất cho Foxconn, với tổng lợi nhuận sau thuế đạt hơn 7.000 tỷ đồng.

Trong đó, New Wing Interconnect Technology (KCN Vân Trung, Việt Yên, Bắc Giang) có lợi nhuận hơn 2.520 tỷ đồng, với thu nhập hoạt động là hơn 33.076 tỷ đồng.

Fuyu Precision Component (KCN Vân Trung, Việt Yên, Bắc Giang) có lợi nhuận sau thuế 2.365 tỷ đồng, thu nhập hoạt động là 58.179 tỷ đồng.

Fuhong Precision Component (KCN Đình Trám, Việt Yên, Bắc Giang) có lợi nhuận sau thuế 1.344 tỷ đồng, thu nhập hoạt động 44.643 tỷ đồng.

Funing Precision Component (KCN Quế Võ, Bắc Ninh) có lợi nhuận sau thuế 893,37 tỷ đồng và thu nhập hoạt động 35.603 tỷ đồng.

ShunYun Technology (Hà Nội) có lợi nhuận sau thuế 240 tỷ đồng và thu nhập hoạt động 714 tỷ đồng.

Fushan Technology (Bắc Ninh) có lợi nhuận sau thuế 40 tỷ đồng.

ShunShin Technology (Bắc Giang) lỗ sau thuế 3,8 tỷ đồng.

Quảng cáo

Mảng sản xuất mô-đun LCD/OLED và tivi ở Competition Team Technology (KCN Đồng Mai, Quảng Ninh) có lợi nhuận sau thuế 321 tỷ đồng, thu nhập hoạt động 8.810 tỷ đồng.

Đơn vị phụ trợ về logistics Jusda International Supply Chain Management Vietnam (Bắc Ninh) có lợi nhuận sau thuế 280 tỷ đồng và thu nhập hoạt động 1.921 tỷ đồng.

Mảng sản xuất máy tính và thiết bị ở FuKang Technology (KCN Quang Châu, Việt Yên, Bắc Giang) lỗ sau thuế 110 tỷ đồng và thu nhập hoạt động 2.056 tỷ đồng.

Các doanh nghiệp trong lĩnh vực xây dựng như KCT Engineering (Quế Võ, Bắc Ninh) lỗ sau thuế 368,4 tỷ đồng và thu nhập hoạt động 145,7 tỷ đồng. FuChuan (Vĩnh Phúc) lỗ sau thuế 29 tỷ đồng. FuGiang (Bắc Giang) lỗ sau thuế 10 tỷ đồng.

untitled-6596.png

Mới đây, Foxconn đã đầu tư thêm vào Quảng Ninh và Nghệ An.

Tại Quảng Ninh, Foxconn đầu tư hai dự án. Một là Dự án nhà máy FECV Foxconn Quảng Ninh có diện tích 6,3ha, tổng vốn đầu tư đăng ký trên 4.755 tỷ đồng (tương đương 200,24 triệu USD) với mục tiêu hình thành một dự án sản xuất, lắp ráp linh kiện điện tử, sạc điện, bộ điều khiển sạc điện xe điện. Dự kiến tháng 1/2025, dự án sẽ hoàn thành, đi vào sản xuất chính thức và sẽ mang lại việc làm thường xuyên cho khoảng gần 1.200 lao động.

Hai là Dự án Nhà máy FMMV Foxconn Quảng Ninh có diện tích 4,1ha, tổng vốn đầu tư gần 1.100 tỷ đồng (tương đương 46 triệu USD Mỹ) với mục tiêu sản xuất, gia công linh kiện, khuôn mẫu linh kiện của sản phẩm công nghệ thông tin và sản phẩm truyền thông. Dự kiến tháng 10/2024, dự án sẽ hoàn thành, đi vào hoạt động và sử dụng trên 700 lao động.

Hai dự án đều đặt tại KCN Sông Khoai (TX Quảng Yên).

Tại Nghệ An, Foxconn đã rót 100 triệu USD thuê đất tại khu công nghiệp WHA với diện tích 48ha cho giai đoạn 1 của dự án; theo kế hoạch sẽ tiếp tục đầu tư giai đoạn 2 và giai đoạn 3.

Foxconn thành lập từ năm 1974, có trụ sở chính ở Đài Loan (Trung Quốc) và được biết tới là nhà sản xuất thiết bị điện tử lớn nhất thế giới. Năm 2018, doanh nghiệp này sản xuất hơn một nửa số điện thoại di động trên toàn thế giới.

Theo Nhịp sống thị trường Sao chép

Cùng chuyên mục Bất động sản

Liên tục “khuếch tán” giá căn hộ sơ cấp tăng nhanh, chỉ có lợi cho chủ đầu tư đang bán hàng?

Thông tin giá bất động sản tăng cao liên tục xuất hiện trên truyền thông thời gian qua chưa phản ánh hết thực tế thị trường. Điều này chỉ có lợi cho các chủ đầu tư đang ra hàng, trong khi thiếu thông tin giá thực tế dành cho người thu nhập trung bình.

Aeon Việt Nam 3 năm liền vào top 3 doanh nghiệp bền vững ngành thương mại - dịch vụ Tổng Giám đốc Nam Long: Đẩy mạnh phát triển và mở bán dự án, tự tin hoàn thành kế hoạch năm 2025

Giải bài toán “khát” căn hộ vừa túi tiền: Căn hộ chỉ từ 1,7 tỷ đồng xuất hiện tại Expo Nam Long Journey 2025

Trong bối cảnh thị trường thiếu hụt nghiêm trọng nguồn cung căn hộ vừa túi tiền, Nam Long ADC – thành viên của Tập đoàn Nam Long giới thiệu dòng sản phẩm EHome với mức giá chỉ từ 1,7 tỷ đồng tại Expo Nam Long Journey 2025.

Ban quản lý kinh tế Gia Lai yêu cầu Phát Đạt, Danh Khôi đối thoại trực tiếp với 43 công dân dự án Nhơn Hội New City Tổng Giám đốc Nam Long: Đẩy mạnh phát triển và mở bán dự án, tự tin hoàn thành kế hoạch năm 2025

Tổng Giám đốc Nam Long: Đẩy mạnh phát triển và mở bán dự án, tự tin hoàn thành kế hoạch năm 2025

Doanh số pre sale của CTCP Đầu tư Nam Long (Hose: NLG) tăng đột biến trong tháng 10/2025 lên 9.293 tỷ đồng, tăng 86% so với kết quả 9 tháng nhờ một số dự án có được giấy phép bán hàng.

FAO: Giá lương thực thế giới giảm tháng thứ ba liên tiếp Ban quản lý kinh tế Gia Lai yêu cầu Phát Đạt, Danh Khôi đối thoại trực tiếp với 43 công dân dự án Nhơn Hội New City

Ban quản lý kinh tế Gia Lai yêu cầu Phát Đạt, Danh Khôi đối thoại trực tiếp với 43 công dân dự án Nhơn Hội New City

Mới đây, Ban quản lý khu kinh tế Gia Lai đã phát đi công văn số 1896/BQL-QHXD về việc giải quyết và trả lời đơn kiến nghị của 43 công dân liên quan đến phân khu số 2, 4, 9 - thuộc Khu Đô thị du lịch sinh thái Nhơn Hội, Khu kinh tế Nhơn Hội (tên thương mại là Khu đô thị mới Nhơn Hội New City) tại phường Quy Nhơn Đông, tỉnh Gia Lai.

Từ Diana đến cú chốt 4.700 tỷ cho Thiên Long: Người Nhật đã bền bỉ thâu tóm thương hiệu Việt, rót nhiều tỷ USD vào các ngân hàng Aeon Việt Nam 3 năm liền vào top 3 doanh nghiệp bền vững ngành thương mại - dịch vụ

Trả lời “nóng” của Sở xây dựng TP.HCM về các tuyến hạ tầng trọng điểm kết nối phía Nam

Tại buổi họp báo tình hình kinh tế - xã hội trên địa bàn TP.HCM chiều ngày 4/12, ông Nguyễn Kiên Giang, Phó trưởng phòng Quản lý bảo trì và khai thác công trình giao thông (Sở Xây dựng TP.HCM) đã thông tin về tiến độ các dự án hạ tầng trọng điểm đã và đang hoàn thành trong thời gian tới.

Điểm tin kinh tế thế giới nổi bật ngày 4/12/2025 Đẩy mạnh xúc tiến đầu tư FDI, từ “trải thảm” sang “chọn mặt gửi vàng”

Gia Lai tạm dừng dự án Nhơn Hội của Danh Khôi Holdings và Phát Đạt vì chậm trễ nghĩa vụ thuế

Cục Thuế tỉnh Gia Lai vừa ra văn bản tạm dừng giải quyết hồ sơ xác định nghĩa vụ tài chính đối với cư dân phân khu số 2, 4, 9 - thuộc Khu Đô thị du lịch sinh thái Nhơn Hội, Khu kinh tế Nhơn Hội (tên thương mại là Khu đô thị mới Nhơn Hội New City) tại phường Quy Nhơn Đông, tỉnh Gia Lai.

“Trong tương lai, người dân không nhất thiết phải ở ngay trung tâm TP.HCM” Cơ chế đã thông, cơ hội để kiều bào an cư tại quê nhà

“Soi” giá đất các tuyến đường tại trung tâm TP.HCM trong dự thảo bảng giá đất mới năm 2026

Mới đây, Sở Nông nghiệp và Môi trường (Sở NN-MT) TP.HCM đã có tờ trình gửi Hội đồng thẩm định bảng giá đất TP.HCM, đề nghị thẩm định bảng giá đất lần đầu áp dụng từ ngày 1/1/2026.

Thị trường chứng khoán châu Á mất đà, nhà đầu tư thận trọng trước quyết định của Fed Cổ phiếu CC1 “đóng băng” thanh khoản giữ lúc thị trường “thăng hoa”, điều gì đang diễn ra?

Thị trường bất động sản công nghiệp Việt Nam chuẩn bị cho “đòn bẩy" 2026

Việt Nam đang bước vào một giai đoạn tăng trưởng công nghiệp mới khi các chỉ số vĩ mô, dòng vốn FDI và tiến độ hạ tầng đều cho thấy sự chuyển dịch từ tăng trưởng theo số lượng sang mở rộng quy mô và chất lượng.

Thị trường bất động sản xuất hiện tình trạng đẩy “sóng” để nhà đầu tư “thoát hàng” cũ và chủ đầu tư đẩy hàng mới? “Điểm mặt” các dự án bất động sản được gỡ vướng sổ hồng

Cơ chế đã thông, cơ hội để kiều bào an cư tại quê nhà

Tại talkshow “Tạo cơ hội để kiều bào an cư tại quê nhà” do báo Tuổi Trẻ cùng Hội Liên lạc với người Việt Nam ở nước ngoài TP.HCM tổ chức trong sáng ngày 3/12, các chuyên gia và kiều bào cùng chung nhận định, cơ chế đã dần thông thoáng tạo cơ hội an cư, đầu tư bất động sản cho kiều bào khi trở về quê hương.

Đại diện Bộ Nông nghiệp và Môi trường: Bảng giá đất mới phải phù hợp với thị trường “Trong tương lai, người dân không nhất thiết phải ở ngay trung tâm TP.HCM”

“Trong tương lai, người dân không nhất thiết phải ở ngay trung tâm TP.HCM”

Đó là nhấn mạnh của ông Phạm Lâm, Chủ tịch kiêm Tổng giám đốc DKRA Group. Vị này cho rằng, trong tương lai, các đô thị vệ tinh sẽ đảm nhiệm vai trò quan trọng, người dân có thể sinh sống thuận tiện mà không nhất thiết phải ở ngay trung tâm.

Đại diện Bộ Nông nghiệp và Môi trường: Bảng giá đất mới phải phù hợp với thị trường Kỷ nguyên FDI mới đang mở ra, chất lượng dòng vốn thay đổi rõ rệt

Khi bán bất động sản, thuế thu nhập sẽ tính như thế nào theo bảng giá đất mới?

Không ít người thắc mắc khi các địa phương áp dụng bảng giá đất mới từ ngày 1/1/2026 thì thuế thu nhập khi bán bất động sản sẽ tính theo bảng giá nhà nước hay hợp đồng mua bán.

Việt Nam đang trở thành điểm sáng trong nhóm thị trường IFM mới nổi TPBank giảm lãi suất hỗ trợ người dân và doanh nghiệp vùng lũ

Việt Nam đang trở thành điểm sáng trong nhóm thị trường IFM mới nổi

Trong 10 tháng đầu năm 2025, vốn FDI thực hiện tại Việt Nam ước đạt 21,3 tỷ USD, tăng 8,8% so với cùng kỳ năm trước. Đây là số vốn đầu tư trực tiếp nước ngoài thực hiện cao nhất của 10 tháng trong 5 năm qua.

Biệt thự trên mặt hồ 800 ha với tầm nhìn 8 km mặt nước: “Cuộc đổi ngôi” của tài sản siêu sang tại Châu Á Chứng khoán châu Á phân hóa trước khả năng Fed hạ lãi suất

Villa, căn hộ biển Vũng Tàu “đắt hàng” khi hạ tầng khu vực bùng nổ

Hàng loạt công trình hạ tầng trọng điểm tại phía Nam đang tăng tốc thi công để về đích trong tháng 12/2025. Từ cao tốc, sân bay, tuyến ven biển đến các dự án kết nối liên vùng, sự hoàn thiện của mạng lưới giao thông là nền tảng quan trọng giúp Vũng Tàu gia tăng dư địa phát triển bất động sản biển giai đoạn mới.

Ra mắt 3 tòa tháp căn hộ đầu tiên tại “thành phố trắng” Blanca City – đô thị biển lớn nhất Vũng Tàu, TP. Hồ Chí Minh Sun Group ra mắt phân khu thấp tầng Casa thuộc “thành phố trắng” Blanca City Lễ ra quân 2 tòa tháp mới Blanca 6&7 thu hút hàng nghìn chuyên viên kinh doanh tham gia

Biệt thự trên mặt hồ 800 ha với tầm nhìn 8 km mặt nước: “Cuộc đổi ngôi” của tài sản siêu sang tại Châu Á

Khu Vịnh Ngọc (Vinhomes Green Paradise) đang định nghĩa lại khái niệm bất động sản siêu sang với những căn biệt thự đặt trên mặt biển hồ Lagoon 800ha lớn nhất thế giới, sở hữu tầm nhìn hướng thủy trải dài hơn 8km, đem đến trải nghiệm sống đặc quyền và giá trị độc tôn mà ngay cả ở Sentosa Cove - thủ phủ của giới triệu phú Singapore - cũng khó có được.

Vinhomes lãi 9 tháng hơn 15.000 tỷ đồng, doanh số chưa ghi nhận cao kỷ lục Vinhomes Green Paradise được công nhận là ứng viên đầu tiên của “7 Kỳ quan Đô thị Tương lai” thế giới